This section details the diagrammatic rules for computing the fermion propagator in Non-Fermi Liquids where interactions are mediated by gapless bosonic excitationsThis section details the diagrammatic rules for computing the fermion propagator in Non-Fermi Liquids where interactions are mediated by gapless bosonic excitations

Fermion Propagators: Stability of Self-Energy

2025/10/30 00:43
  • Prologue
  • Diagrammatic(s) Rules
  • Straight-forward Eikonal
  • Legacy Bosonization
  • Wonton Holography
  • Holographic Propagators
  • Strange Cuprates
  • Stranger Things
  • Epilogue

Diagrammatic(s) Rules

In many of the diverse reincarnations of the problem of finite density fermions with the interactions mediated by gapless bosonic excitations the propagator of the latter conforms to the general expression

\

\ Among the practically important examples of this ’Mother of all NFLs’ are such seemingly disjoint topics as electromagnetic (i.e., Abelian gauge field) skin effect in metals [1] and quark-gluon (non-Abelian) plasmas [2], spin [3] and charge [4] fluctuations in itinerant ferromagnets and Ising quantum nematics, as well as compressible Quantum Hall effect with screened repulsive interactions [5], in all of which situations ξ = 1 and ρ = 2. By contrast, normal skin effect and antiferromagnetic fluctuations in doped Mott insulators are described by ξ = 0, ρ = 2, while compressible Quantum Hall Effect with the unscreened Coulomb interactions corresponds to ξ = 1, ρ = 1.

\ Over several decades much effort has been made towards ascertaining the effects of the interaction (1) on the FL propagator with a finite chemical potential µ

\

\ whose Fourier transform in the spacetime domain reads

\

\ Previous diagrammatic approaches to this problem sought out to investigate the stability of the first-order self-energy

\

\ against higher-order corrections. For a choice of parameters conspiring to yield η = 1 the self-energy (4) acquires an extra factor ln ω.

\ In the early analyses it was argued that the self-energy retains its functional form (4) to all orders in perturbation theory for any finite N, provided that the FS curvature is properly accounted for [6–8]. This conclusion was drawn on the basis of self-consistent Eliashberg-type diagrammatics which, in turn, relies on the generalized Migdal theorem to control vertex corrections.

\ Utilizing the conjectured all-orders result (4) one arrives at the expression

\

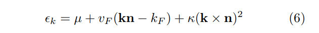
\ where the self-energy is a power-law function of energy with only a weak momentum dependence. To account for a FS curvature κ the fermion dispersion can be expanded in the vicinity of the (Luttinger) FS traced by the unit normal n

\

\ Upon Fourier transforming (5) one finds that at the largest spatial separations the equal-time propagator demonstrates a power-law behavior

\

\ Moreover, in the complementary limit of large temporal separations the leading term in the all-orders ’nearfield’ propagator retains its non-interacting form [7]

\

\ although the sub-leading corrections bear some nontrivial τ-dependence (see next sections).

\ It has also noted that the algebraic behaviors (7,8) hold due to the presence of a pole in the integration over ǫk in (5) while in its absence a different functional behavior sets in. However, the latter was predicted to occur only in the (arguably, unphysical) limit N → 0.

\ Contrary to the earlier expectations, though, the refined analyses of higher-order corrections to (4) found them to be singular, albeit suppressed by extra powers of 1/N [9]. A number of attempts to get an analytic handle on the higher-order effects has been made [10] but their full bearing on the problem of interest remains unclear.

\ Furthermore, a naive generalization of the above calculations to finite temperatures appears to be problematic as (4) picks up a singular contribution Σ(0) [4]. This problem is particularly severe in those situations where gauge invariance prevents the mediating transverse gauge field A⊥ = A × k/k from developing a thermal mass (no magnetostatic screening in normal metals).

\

\ A simpler - yet, questionable - practical recipe for dealing with this harmonic would be to ignore it altogether - as an artifact of the gauge-non-invariant nature of the fermion propagator- or, more formally, have it absorbed into the renormalized chemical potential.

\

\

:::info Author:

(1) D. V. Khveshchenko, Department of Physics and Astronomy, University of North Carolina, Chapel Hill, NC 27599.

:::


:::info This paper is available on arxiv under CC BY 4.0 DEED license.

:::

\

Disclaimer: The articles reposted on this site are sourced from public platforms and are provided for informational purposes only. They do not necessarily reflect the views of MEXC. All rights remain with the original authors. If you believe any content infringes on third-party rights, please contact service@support.mexc.com for removal. MEXC makes no guarantees regarding the accuracy, completeness, or timeliness of the content and is not responsible for any actions taken based on the information provided. The content does not constitute financial, legal, or other professional advice, nor should it be considered a recommendation or endorsement by MEXC.
Share Insights

You May Also Like

Polygon Tops RWA Rankings With $1.1B in Tokenized Assets

Polygon Tops RWA Rankings With $1.1B in Tokenized Assets

The post Polygon Tops RWA Rankings With $1.1B in Tokenized Assets appeared on BitcoinEthereumNews.com. Key Notes A new report from Dune and RWA.xyz highlights Polygon’s role in the growing RWA sector. Polygon PoS currently holds $1.13 billion in RWA Total Value Locked (TVL) across 269 assets. The network holds a 62% market share of tokenized global bonds, driven by European money market funds. The Polygon POL $0.25 24h volatility: 1.4% Market cap: $2.64 B Vol. 24h: $106.17 M network is securing a significant position in the rapidly growing tokenization space, now holding over $1.13 billion in total value locked (TVL) from Real World Assets (RWAs). This development comes as the network continues to evolve, recently deploying its major “Rio” upgrade on the Amoy testnet to enhance future scaling capabilities. This information comes from a new joint report on the state of the RWA market published on Sept. 17 by blockchain analytics firm Dune and data platform RWA.xyz. The focus on RWAs is intensifying across the industry, coinciding with events like the ongoing Real-World Asset Summit in New York. Sandeep Nailwal, CEO of the Polygon Foundation, highlighted the findings via a post on X, noting that the TVL is spread across 269 assets and 2,900 holders on the Polygon PoS chain. The Dune and https://t.co/W6WSFlHoQF report on RWA is out and it shows that RWA is happening on Polygon. Here are a few highlights: – Leading in Global Bonds: Polygon holds 62% share of tokenized global bonds (driven by Spiko’s euro MMF and Cashlink euro issues) – Spiko U.S.… — Sandeep | CEO, Polygon Foundation (※,※) (@sandeepnailwal) September 17, 2025 Key Trends From the 2025 RWA Report The joint publication, titled “RWA REPORT 2025,” offers a comprehensive look into the tokenized asset landscape, which it states has grown 224% since the start of 2024. The report identifies several key trends driving this expansion. According to…
Share
BitcoinEthereumNews2025/09/18 00:40